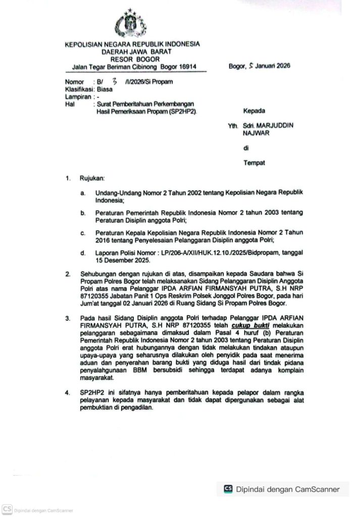
BOGOR, Soksimedia.com – Kepolisian Resort (Polres) Bogor, Polda Jawa Barat, melalui Satuan Profesi dan Pengamanan (Propam), kembali mendemonstrasikan komitmennya terhadap akuntabilitas dan pelayanan prima kepada masyarakat. Hal ini tercermin dari diterbitkannya Surat Pemberitahuan Perkembangan Hasil Pemeriksaan Propam (SP2HP2) bernomor B/3/I/2026/Si Propam pada 5 Januari 2026.
Melalui Surat yang diterima Redaksi dan telah ditandatangani oleh An. Kepala Propam Polres Bogor, AKP Oketut Lasswarjana, S.H., M.M., ini secara resmi menginformasikan hasil Sidang Pelanggaran Disiplin terhadap seorang anggotanya, IPDA Arfian Firmansyah Putra, S.H. (NRP 87120355).
Berdasarkan pemeriksaan mendalam, sidang disiplin memutuskan bahwa *terdapat cukup bukti* bahwa yang bersangkutan melakukan pelanggaran disiplin. Pelanggaran tersebut mengacu pada *Pasal 4 huruf b Peraturan Pemerintah RI No. 2 Tahun 2003* tentang Peraturan Disiplin Anggota Polri, yakni terkait kelalaian dalam menjalankan tugas.
Secara spesifik, pelanggaran ini berhubungan dengan tidak dilakukannya tindakan atau upaya yang seharusnya oleh penyidik saat menerima aduan dan penyerahan barang bukti dugaan tindak pidana penyalahgunaan BBM bersubsidi, yang kemudian memicu komplain dari masyarakat.
Surat tersebut secara tegas menyatakan bahwa penerbitan SP2HP2 ini adalah bentuk pertanggungjawaban dan pelayanan kepada pelapor masyarakat. Polri ingin memastikan bahwa setiap laporan dari warga ditindaklanjuti dengan proses internal yang jelas dan berkelanjutan.
Namun, surat ini juga secara objektif menjelaskan batasan hukumnya: SP2HP2 tidak dapat dipergunakan sebagai alat pembuktian di pengadilan. Penegasan ini menunjukkan ketaatan institusi pada koridor hukum yang berlaku, di mana proses pidana dan proses disiplin memiliki ranah dan alat buktinya masing-masing.

Dalam hal ini, masyarakat dan atau pemimpin perusahaan media online, Mr. Nazwar, menyampaikan apresiasi dan harapannya. “Kejadian ini harus menjadi edukasi bersama ke depannya, baik bagi institusi maupun warga,” ujarnya. Ia menekankan bahwa peran aktif masyarakat dalam melaporkan dan membantu penyidikan sesuai prosedur hukum adalah kunci menegakkan keadilan.
”Keprofesionalan dan transparansi seperti yang ditunjukkan Propam Polres Bogor ini mempererat sinergitas antara aparat penegak hukum dan masyarakat. Hubungan yang baik ini fondasi utama untuk menciptakan keamanan dan ketertiban,” tambah Mr. Nazwar.
Propam Polres Bogor juga membuka kanal komunikasi bagi masyarakat yang memiliki informasi lebih lanjut. Pihak yang berkepentingan dapat menghubungi:
Kanit Provos Propam Polres Bogor, IPDA Danang Wijayanto, S.H., M.H. (081219161695)
Pemeriksa Unit Provos, Brigadir Yasin Firmansyah, S.H. (081211711074)
Langkah konkret Polres Bogor ini merupakan pesan tegas bahwa integritas dan disiplin internal dijunjung tinggi. Setiap penyimpangan, sekecil apapun, akan diproses secara hukum dan disiplin untuk menjaga kepercayaan publik, sekaligus menjadi pembelajaran dalam meningkatkan kualitas pelayanan kepolisian di wilayah hukum Bogor.
(RED)
